Allegations of Coercion, Deception Levied in RI, As Teachers Union Tries to Hold On To Members
Kate Nagle, GoLocal News Editor
Allegations of Coercion, Deception Levied in RI, As Teachers Union Tries to Hold On To Members

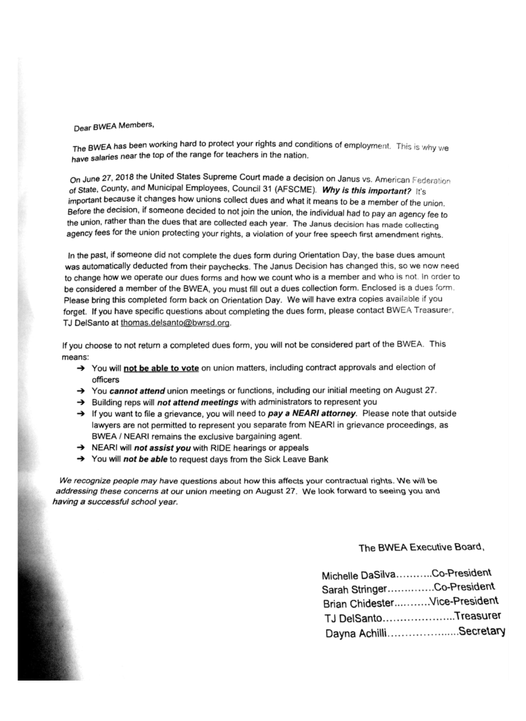
"The BWEA has been working hard to protect your rights and conditions of employment. That is why we have salaries near the top of the range for teachers in our nation," wrote the Executive Board of the Bristol-Warren Executive Board, in a letter sent to teachers -- who now have to choose whether to opt into being represented by the labor union -- or decide to not opt-in, following the Supreme Court decision in May.
SEE LETTER BELOW
GET THE LATEST BREAKING NEWS HERE -- SIGN UP FOR GOLOCAL FREE DAILY EBLASTAmong the items listed that non-union members will face includes the stipulation that, "If [non-union] teachers want to file a grievance, you will need to pay a NEARI attorney."
"We've got lawyers looking at the clauses," said Rhode Island Center for Freedom and Prosperity CEO and President Mike Stenhouse. "Right now, we have concerns about the [letter's] tone and its nature -- I'm waiting to hear more from lawyers."
"There is one clear deception -- and it's not necessarily legal one -- it's their assertion [teachers] must be represented by a NEARI attorney," said Stenhouse "The unions want you to believe that's the only route. Teachers still have their own civil rights, whether they follow the union grievance [process]. There are other paths -- [civil rights under] the Equal Employment Opportunity Commission, and more."
The Bristol-Warren Education Association, and the National Education Association of Rhode Island [NEARI], hit back on Sunday.
"We had 287 members in the BWEA for the 2017-2018 school year. Between retirements and resignations from last year combined with the new hires for the upcoming school year, we expect our membership to remain approximately the same," said BWEA's Michelle DaSilva.
"Regarding legal options, teachers are required to hire a NEARI attorney if they want representation because outside lawyers are not permitted to represent BWRSD teaching faculty separate from NEARI in grievance proceedings because BWEA/NEARI remains the exclusive bargaining agent between BWRSD and BWEA," said DaSilva.
"I don't 'expect' anyone to drop their membership," said NEARI Executive Director Robert Walsh. "Since we are the exclusive representative of the contract, non-members cannot retain outside counsel, the same rule as before the Janus decision."

This past week, the RI Center for Freedom & Prosperity launched its "My Pay My Say RI" public awareness campaign on its MyPayMySayRI.com website, designed to "inform public servants of their recently restored First Amendment rights, as ruled by the U.S. Supreme Court in the landmark Janus v AFSCME case."
"A consistent champion of constitutional rights for all citizens, the Center believes public employees deserve to know that they now have full freedom when it comes to deciding whether or not it is in their best interest to pay union dues; and that they cannot be recriminated against if they choose to leave. Prior to the Janus ruling, all state and municipal employees in Rhode Island were forced to pay their government-designated unions as a condition of employment," wrote the Center.
According to Stenhouse, the Center and other national labor experts "believe this letter, which over-emphasizes the potential negative consequences of exiting the union, serves as nothing more than a scare-tactic to union members who may not want their dues to support the political activities of the NEA and who may be considering disaffiliation."
"This letter clearly does not represent the freedom of choice that the Janus decision mandates. The coercive nature of the letter itself may be grounds for legal action, as could any specific misrepresentations made in the letter. Our local and national legal team will soon make a judgment on some of the specific enumerated claims," said Stenhouse.
"It is encouraging that the NEA is complying with the Janus decision in that they are asking each teacher to affirmatively confirm that they choose to pay union dues, however, the threatening tone of the letter defeats the purpose," said Stenhouse. "It is unfortunate that unions feel they have to threaten and deceive teachers in order to collect dues from them."


